[News] 사진 속 얼굴 특징에 따라 고혈압 가능성 확인, 안면, 안면 등 얼굴 특징만으로 고혈압 환자를 구별하는 모바일 앱을 적용하는 등 일상 고혈압 관리 기술에 활용할 것으로 기대된다.
한국한의학연구원(이하 한의학연구원) 이상훈 박사 연구팀은 사진 속 얼굴색, 안면 등 얼굴의 특성을 분석하여 고혈압 환자와 정상인을 구별할 수 있다는 연구 결과를 발표했다. 향후 소셜 미디어나 휴대전화 사진 등을 활용해 일상의 건강 위험을 사전에 파악하고 관리하는 미래 헬스케어 기술 개발에 활용할 것으로 기대된다.
우리나라에서 가장 흔한 만성질환 중 하나인 고혈압은 한번 발병하면 완치가 어렵고 평생 관리를 해야 하므로 조기진단을 통한 예방이 특히 중요하다. 그러나 발병 전 위험도를 예측하려면 가족력, 허리 둘레, 혈압 변화, 중성지방 등 여러 변수를 고려해야 하기 때문에 일상생활에서 확인하기가 쉽지 않은 실정이다.

▲안면형태 및 색깔 등 특징 변수로, 연구팀은 *일상생활에서 자주 사용되는 사진 속 얼굴의 특성을 활용하여 고혈압 위험도 진단 가능성을 확인하는 연구를 수행하고 있다.※한의학연구원 미대의학부는 일상생활에서 활용할 수 있는 한의학 건강관리기술 개발 연구를 진행하고 있으며, 최종적으로는 인공지능(AI) 한의사 개발을 통한 미래의학 선도를 위한 준비를 하고 있다.
연구팀은 한의학 연구를 위해 특정 기준에 따라 촬영한 한의학 데이터센터의 사진 가운데 고혈압 환자나 정상인의 사진 1000여 장(환자 394명, 정상인 705명)을 활용했다.
연구팀은 한의학의 망진*에서 관찰하는 얼굴의 특성을 기준으로 얼굴 부위별 형태 변수 및 색 변수를 정량적인 형태로 추출했다.※망진: 한의사가 눈으로 환자의 안색, 윤기, 피부, 눈, 혀, 손톱 등 몸의 표면 부위를 알아보는 한의학의 4가지 진단법 중 하나.
형태변수는 얼굴에 기준점을 설정한 뒤 이를 이용해 길이, 각도, 비율, 면적 등을 추출하고, 컬러변수는 영역을 구분해 영역별 밝기 성분, 빨간색 파란색 등의 성분으로 표현되도록 변수를 추출했다.

▲ 고혈압 환자와 정상 인간의 차이를 보이는 안면 변수 이후 통계적 기계 학습 기법*을 활용하여 고혈압 그룹과 정상인 그룹 간의 안면 특징 변수를 성별에 따라 비교 분석하여 고혈압을 예측할 수 있는 안면 특징 변수를 확인하였다.* 통계적 기계학습 : 인공지능 연구의 한 분야인 기계학습(머신러닝)에 통계학이 활용된 기법으로 예측의 정확성을 주로 강조하는 일반 기계학습보다 기계학습의 결과치를 해석, 추론하는 연구에 주로 활용된다.
분석 결과 두 성별 모두 고혈압 환자와 정상 인간의 차이를 보이는 변수는 얼굴 형태의 경우 코 모양이며, 얼굴 색에서는 이마와 뺨 색으로 확인됐다. 특히 성별에 따라 여성의 경우 눈 모양과 코의 각도 색이 환자와 정상인을 가장 뚜렷이 구별하는 변수이며, 남성의 경우 코너와 뺨 색깔이 가장 큰 차이를 보이는 변수로 확인됐다.

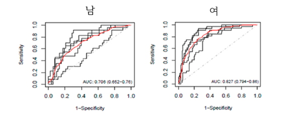
▲ 예측 모델의 정확도(ROC 커브와 AUC 값) 추출된 안면 특징 변수를 종합한 모델에 따라 고혈압 환자와 정상인을 구별해 본 결과, 여성의 경우 AUC 값*이 0.827, 남성은 0.706으로 나타나 의미 있는 수준으로 예측할 수 있다는 사실을 확인했다.※ AUC(Area Under Curve, 곡선하면적: 값이 1에 가까울수록 예측이 정확함을 의미)
연구팀은 앞으로 정상적이고 고혈압으로 진행되는 사람의 안면 특징에 대한 후속 연구 수행을 통해 단순한 구별을 넘어 고혈압 발생 위험도를 예측할 수 있는 연구로 점차 확대해 나갈 계획이다. 향후 해당 기술은 일상생활에서의 간단한 비접촉 방법을 통해 고혈압을 쉽게 예측하고 예방·관리에 활용할 수 있을 것으로 기대된다.
연구책임자 이상훈 박사는 “향후 미래 헬스케어 서비스에서는 이미지와 같은 비접촉 데이터 기반의 건강위험 예측기술이 중요할 것”이라며 “이번 연구를 통해 사진만으로 고혈압 위험을 확인하고 정보를 제공함으로써 개인의 질병 예방·관리에 도움이 될 가능성을 확인했다는 점에서 의미가 크다”고 밝혔다.
한편 이번 연구는 과학기술정보통신부 산하 한학연 주요 사업 및 과학기술정보통신부, 한국연구재단의 바이오 의료기술 개발사업의 지원을 받아 이뤄졌다.
